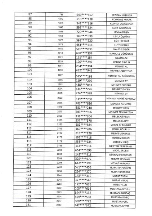
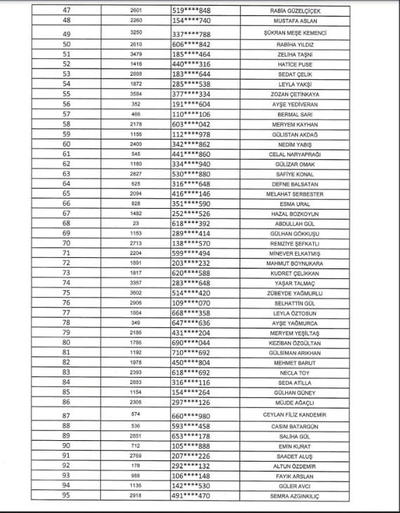
Şanlıurfa'nın Siverek ilçesinde, Türkiye İş Kurumu (İŞKUR) tarafından yürütülen Toplum Yararına Çalışma Programı (TYP) kapsamında istihdam edilecek işçilerin belirlenmesi için yapılan kura sonuçları açıklandı.
İŞKUR (Türkiye İş Kurumu) tarafından yürütülen Toplum Yararına Çalışma Programı (TYP) kapsamında istihdam edilecek işçilerin belirlenmesi amacıyla önemli bir adım atıldı. 9 aylık süre boyunca istihdam edilecek işçilerin belirlenmesi için noter huzurunda kura çekimi gerçekleştirildi. Siverek ilçesindeki okullarda görev alacak 305 asil ve 309 yedek kişi belirlemek üzere düzenlenen etkinlik, Siverek Mehmetçik İlkokulu Konferans Salonu'nda gerçekleşti.
Siverek ilçesinde gerçekleştirilen kura çekimi, bu programın katılımcılarını belirlemek amacıyla yapıldı. Belirlenen asil ve yedek katılımcılar, ilgili okullarda görev alacak ve 9 aylık süre boyunca istihdam edilecekler.
İşte Tam Liste




















